煤岩气:概念、内涵与分类标准
李国欣¹ ² ³ ,张水昌²,何海清³,何新兴³,赵喆²,牛小兵⁴,熊先钺⁵ ⁶ ,赵群² ⁷,郭绪杰³,侯雨庭⁴,张雷⁵ ⁶,梁坤²,段晓文³,赵振宇²
1. 中国石油天然气股份有限公司,北京 100007;2. 中国石油勘探开发研究院,北京 100083;3. 中国石油油气和新能源分公司,北京 100007;4. 中国石油长庆油田公司,西安 710018;5. 中石油煤层气有限责任公司,北京 100028;6. 中联煤层气国家工程中心,北京 100028;7. 中国石油天然气集团有限公司非常规油气重点实验室,河北廊坊 065007)
关键词:煤岩气;煤层气;吸附气;游离气;分类标准;储量估算方法
20世纪70年代,美国能源部“非常规天然气开采项目(UGP)”首次将煤层作为天然气储层进行研究[1],并推动了埋深1500m以浅的煤层气资源有效开发。2023年,全球煤层气产量约700×108 m3。其中,美国煤层气产量受页岩气开发影响,从2008年557×108m3的峰值降至2023年的200×108m3;澳大利亚自2018年后保持稳产约400×108m3。中国高度重视煤层气勘探开发攻关,从上世纪80年代初国内学者针对煤层气开展研究探索,“九五”以来先后设立了“中国煤层气成藏机制及经济开采基础研究”国家973计划项目和“大型油气田及煤层气开发”国家科技重大专项等。但是,中国煤层地质条件复杂,工艺适应性较差,国外已形成的成熟技术难以推广,产业发展相对较慢[2],2023年中国煤层气产量117.7×108m3。
2000年以来,随着水平井多段压裂技术突破,页岩气获得有效开发。工业界大胆创新,将该技术应用于煤岩储层内的非常规天然气勘探开发,并取得成功,开辟了中国非常规天然气发展的新领域。2005—2016年,中国石油新疆油田公司在准噶尔盆地侏罗系煤岩储层(埋深2560~2620m)部署了彩504和彩512等多口直井,压裂测试获日产天然气(0.15~0.73)×104m3,这种深层煤岩储层内的非常规天然气引起重视[3]。2019年,中石油煤层气有限责任公司在鄂尔多斯盆地二叠系8#煤(埋深2200m)部署了大吉3-7向2直井,压裂测试获日产气0.6×104m3,并率先启动了大吉区块开发先导试验[4]。2020—2023年,中国石油新疆油田公司在准噶尔盆地部署的彩探1H井,长庆油田公司、冀东油田公司和辽河油田公司等分别在鄂尔多斯盆地部署的纳林1H、佳南1H和米172H等井,水平井压裂测试获日产气(5~10)×104m3 ;中联煤层气有限责任公司在鄂尔多斯盆地临兴区块部署的LX-62-CH1井,水平井压裂测试获日产气6×104m3;中国石化华东油气分公司在四川盆地渝东南地区部署阳1和阳2等直井,压裂获日产气(0.6~1.2)×104m3,华北油气分公司在鄂尔多斯盆地大牛地气田部署阳煤1HF水平井,压裂测试获日产气10.4×104m3。随着勘探开发实践的深入,工业界和学术界发现此种新类型非常规天然气与传统煤层气相比差异较大,具有游离气占比高、存在微距运移、生产初期以游离气为主、吸附气接替等特征,属于一种新类型非常规天然气。2023年5月,针对煤岩储层内新类型非常规天然气,中国石油天然气股份有限公司(简称中国石油)制定了首部中长期业务发展规划及“十四五”后三年实施方案。截至2023年底,中国针对煤岩储层内新类型非常规天然气已钻井70口以上,探明地质储量3246×108m3,2023年产量12×108m3。
目前,工业界和学术界对这种煤岩储层内新类型非常规天然气的表述不一致,本文系统对比剖析了煤岩储层内新类型非常规天然气的赋存状态、运储形式、差异聚集和开发规律,定义了“煤岩气”概念,并提出了分类标准,建立了资源/储量估算方法,指出了未来潜力区与攻关方向,为中国此种新类型非常规天然气矿种管理和勘探开发奠定理论、评价和生产实践基础。
针对当前对煤岩储层内新类型非常规天然气表述不一致的现状,笔者认为有必要对煤岩气从学术上给出一个清晰的定义,包括概念、内涵及其与煤层气的区分等,为地质科学研究和勘探开发实践提供参考。
1.1 新类型煤岩储层非常规天然气表述现状
传统煤层气通常具有3个特点:①以吸附态赋存为主。煤层富含有机质,具有很强的生烃与天然气储气能力。以甲烷为主的烃类气体主要以吸附态赋存于煤的微观孔隙内,游离气和溶解气的量通常可以忽略不计。现行的《煤层气储量估算规范》(DZ/T 0216—2020)在煤层气储量估算过程中仅考虑吸附气,并未考虑游离气和溶解气[5]。②自生自储水压力封闭原位聚集。煤层中有机质生气后优先赋存于煤层有机质的微观孔隙,在构造活动等调整过程中,吸附气在地下水压力作用下保存(见图1)。

图1 煤层气水压力封闭聚集模式与开发示意图
目前,在沁水盆地南部煤层储集空间中以吸附气和水为主,煤层含气量低于吸附能力,吸附气含气饱和度50%~90%[6-7]。③弱水动力区煤层气富集。水压力封闭作用下,煤层气富集不受圈闭控制。通常在构造相对稳定的向斜核部与构造斜坡区,弱地下水动力条件下,形成煤层气富集区。随埋深增加,在储层压力和温度的综合作用下,煤层在纵向上存在吸附气含气量峰值深度,通常认为煤层埋深超过1500m吸附气含气量下降,煤层气不能经济有效开发。长期勘探开发实践表明,沁水盆地煤层气峰值含气量埋深为1000~1200m,鄂尔多斯盆地东缘煤层气峰值含气量埋深为1100~1400m[6-9]。
近年来,在工业界和学术界虽然普遍认识到了煤岩储层内新类型非常规天然气与早先开发的传统煤层气不同,不同学者针对不同盆地、不同区块给出了深层煤层气、深部煤层气和煤岩气等诸多表述,但对其内涵、评价标准和煤层埋深范围的描述均不一致(见表1)。

表1 深层煤层气或深部煤层气的相关表述列表
一方面,一些学者称其为“深层煤层气或深部煤层气”。徐凤银等、余莉珠等和刘长松等认为深层或深部的界限为1000m[15, 17, 26];刘洪林等、房大志等和郭旭升等认为界限为1500m[10, 22, 30];张军涛等、李曙光等、江同文等和熊先钺等认为界限为2000m[12, 23, 32, 34]。另一方面,一些学者为了与传统煤层气区分,将其表述为“煤岩气”(见表2)[3, 44-51]。郭绪杰等[3]认为煤层气埋深一般在1400m以浅,以吸附气为主,有效开采需长期排水降压,并基于对准噶尔盆地煤岩储层内天然气的研究,提出将此种“既不同于煤层气、也不同于常规气的新聚集类型天然气”称作煤岩气,但并未明确其内涵、外延和评价标准。赵喆等[49]基于鄂尔多斯盆地的研究,将煤岩气定义为“以中高阶煤岩自生成藏或从其他气源运移而赋存于煤岩储层中,通过储层改造可快速产气并能规模开采的烃类气体”,也有学者对相关概念进行了探讨[52-53]。
1.2 煤岩气概念及内涵
煤岩是将煤作为一种特殊沉积岩的表述,煤岩学是一门学科[54-55]。长期以来,中国石油长庆油田公司、煤层气公司将鄂尔多斯盆地二叠系下石盒子组—山西组的致密砂岩作为目的层,实现了致密气资源的规模有效开发。近几年,在致密气钻井过程中,发现相邻煤岩层段具有良好的气测显示,故将煤岩储层作为非常规天然气开发目的层,实现了煤岩储层内新类型非常规天然气的有效开发。2023年4月22日,中国石油召开“深层煤岩气勘探开发技术研讨会”,通过广泛研讨初步达成了将这种新类型非常规天然气称为煤岩气的共识。2023年5月23日,在《鄂东大吉区块深层煤层气国家级开发示范区建设方案》评估中,专家组“建议深层煤层气也称深地煤岩气或深层煤层致密气”。为与传统煤层气区分,综合参考前人关于这一领域的研究认识(见表1、表2),本文将“煤岩气”定义为:煤岩自身生成或其他气源运移而赋存于煤岩中,游离态和吸附态并存,游离气含量高,通过储层改造可快速产气并能获得工业化开采的烃类气体。

表2 煤岩气的有关表述列表
从目前勘探开发实践来看,鄂尔多斯、准噶尔等盆地的煤岩气通常分布于埋深超过2000m且具有良好顶底板的煤岩储层中。此外,勘探实践中也发现了煤岩气中存在他源补给的现象。煤岩气在储层类型上与煤层气相似,在天然气赋存特征上与页岩气相似,在开发方式上与页岩气、致密气相似(见表3),是一种特殊类型的非常规天然气资源,具有3方面内涵:①游离气含量丰富。在较大埋深,煤岩有机质生气量足以满足基质吸附或微观孔隙储存,部分气体以游离态形式保存在煤岩宏观孔缝中,赋存状态与页岩气相似(见图2)。鄂尔多斯、四川和准噶尔等盆地煤岩实测游离气占比20%~50%。②游离气微距运移聚集。煤岩储层的宏观孔缝发育,是良好的油气运移通道与储集空间。在重力与浮力的作用下,游离气与可动水形成分异,游离气在大孔中通过微距运移聚集,符合达西定律(类似常规气)(见图2)。煤岩储层宏观孔缝以游离气为主,如鄂尔多斯盆地东缘煤岩储层实测含气饱和度60%~90%,部分储层基本无可动水。③顶底板控制煤岩气富集。游离气聚集受保存条件影响,随着埋深增加地应力作用增强,储层的保存条件变好,煤岩气聚集条件更有利。鄂尔多斯盆地东缘埋深超过2000m煤岩气发育“煤岩-灰岩、煤岩-泥岩、煤岩-砂岩”3种聚散组合[49],前两种保存条件好;四川盆地埋深超过2000m的煤岩储层压力系数1.1~1.5,顶底板封闭条件好。

表3 不同类型非常规天然气特征对比表

图2 煤岩气自生自储与微距运移
复合聚集模式与开发示意图
1.3 煤岩气地质特征
1.3.1 游离气与吸附气并存、富含游离气
传统煤层气储层宏观孔缝体系通常被地下水充填,吸附气占比接近100%,通常条件下处于欠饱和状态,如沁水盆地南部开发主力储层3#煤和15#煤平均含气量16m3/t,吸附气含气饱和度为50%~90%,平均70%[6, 58-60]。
煤岩气富含游离气,但不同地区游离气占比差异较大。如鄂尔多斯盆地东缘大吉区块高煤阶(Ro值为2.02%~3.03%)8#煤岩储层平均含气量24m3/t,游离气占比20%[24];四川盆地渝东南地区龙潭组高煤阶(Ro值为1.8%~2.3%)煤岩储层超压(压力系数1.1~1.5),含气量20~37m3/t,游离气占比35%~49%[22, 58];准噶尔盆地白家海地区中低煤阶(Ro值为0.6%~0.8%)煤岩储层含气量3.1~16.0m3/t,游离气占比约50%[3, 16, 18]。
1.3.2 自生自储-微距运移并可有他源的聚集
传统煤层气以自生自储式滞留聚集为主。如沁水盆地南部煤层孔隙度3.3%~8.8%[8, 21],吸附气在地下水的压力作用下吸附于微观孔隙内,不受圈闭控制(见图3)。

图3 沁水盆地南部煤层气东西向分布剖面图
(O2f—峰峰组;C2b—本溪组;C3t—太原组;P1s—山西组;P1x—下石盒子组;P2s—上石盒子组;P2sh—石千峰组)
煤岩气以自生自储为主,在层内可微距运移聚集,因构造差异,局部游离气可运移至构造高部位。如鄂尔多斯盆地东缘大吉区块的8#煤,Ro值总体大于2.0%,煤岩生烃量大,孔隙度4.9%~8.0%[8, 24],在生烃压力、浮力和重力等驱动下,宏观孔缝内的游离气存在一定的运移(见图4);准噶尔盆地白家海地区针对侏罗系煤岩的彩探1H井,天然气碳同位素组成特征(δ13C1值-28.13‰~-26.13‰)与周缘构造天然气相近,属石炭系气源[3, 16],存在外源气充注。这也从另一个方面说明,此类非常规天然气与传统的煤层气具有典型差异性。
煤层气主要分布于埋深较浅部位,保存条件相对较差,近地表水体在煤层中形成压力封闭,储层水矿化度相对较低。随着埋深加大,在良好顶底板的夹持下煤岩储层形成压力封闭,游离气得到有效保存,形成煤岩气。根据目前的认识推测,煤岩储层裂缝发育,在重力与浮力的作用下,气、水必然存在分异,部分储层可存在较为明确的气水界面。气水界面上部以自生自储与微距运移复合聚集为主,形成煤岩气;气水界面下部以水动力封闭的吸附气自生自储原位聚集为主,也可形成煤层气。
1.3.3 煤岩割理裂缝发育、游离气差异富集明显
传统煤层气埋深一般小于1500m,在地下水压力封闭下以吸附态赋存,甲烷分子在范德华力作用下吸附于煤层基质微观孔隙内,保存主要受水文地质条件控制。煤层气因游离气占比极小,其分布不受各类圈闭控制。

图4 鄂尔多斯盆地东缘煤岩气
与煤层气东西向分布剖面图
与煤层气相比,煤岩气埋深更大,在良好顶底板封闭条件下,宏观孔缝内游离气富集,具有储层压力大、含气量高、游离气丰富等特点。如鄂尔多斯盆地埋深超过2000m煤岩储层保存条件明显变好,煤岩气发育,微幅构造区可存在规模的游离气富集。准噶尔盆地白家海地区构造高部位裂缝发育的彩探1H井,中低煤阶煤岩孔隙度16.2%、埋深2600m、水平段长1000m,获测试日产气5.7×104m3[3];而位于盆地凹陷区裂缝不发育的道探1井,煤层孔隙度17.3%,储层物性较好,但试气效果较差(日产水15.0m3)(见图5)。

图5 准噶尔盆地白家海地区煤岩气分布示意图
(C—石炭系;P2x—下乌尔禾组;P3w—上乌尔禾组;T—三叠系;J1b—八道湾组;J1s—三工河组;J2x—西山窑组;J2t—头屯河组)
1.3.4 深层煤岩气具有“5高”特征
相较传统的煤层气,因煤岩储层埋深更深、保存条件更好,埋深超过2000m的煤岩气具有“高压力、高温度、高含气、高饱和、高游离”的5高特征。以鄂尔多斯盆地深层煤岩气为例,根据目前实测结果,储层压力总体超过20MPa、地层温度70 ℃以上、平均含气量24m3/t、吸附气含气饱和度超过120%(含气量超过吸附能力),分别约是传统煤层气的2.5倍、1.5倍、1.5倍和1.5倍。此外,与煤层气几乎不含游离气相比,煤岩储层游离气占比20%以上。
1.4 煤岩气开发特征
煤岩有机质含量高,低密度、强塑性,微观孔隙与宏观孔缝均发育,具有典型的双重孔缝结构。以鄂尔多斯盆地东缘8#煤(Ro值为2.09%~2.99%)为例,孔隙结构具有两头多、中间少的“U型”特征(见图6)。煤岩气地质特征的特殊性,决定了其在开发上与煤层气不同(见表3),具有3方面特征。
1.4.1 高势能游离气弹性驱动产出、压降后吸附气解吸接替
煤岩气和煤层气赋存与聚集差异性决定了开发机理不同。以吸附态为主的煤层气被范德华力束缚,在地下水的压力封闭作用下,需通过长期规模排水降压,将储层压力降低至吸附气临界解吸压力以下,才可实现有效开发;而煤岩气游离气占比高,通过人工改善储层连通性,游离气在弹性势能作用下产出,储层压力降低后吸附气解吸形成接替,实现长期有效开发。

图6 鄂尔多斯盆地东缘高煤阶
煤岩孔隙体积与比表面积构成
1.4.2 水平井多段压裂后可依靠地层自然能量开采
不同煤阶煤岩储层的生烃量、孔缝结构、渗透率和力学性质等特征不同决定其开发方式不同。针对鄂尔多斯盆地东缘高煤阶煤岩煤体结构好、脆性指数高、顶底板遮挡性强,逐步探索形成了“超大排量+超大液量+超高砂量+快速返排”的“三超一快”水平井多段压裂工艺模式,有效改善了储层的连通性,最大程度控制储量规模,气井依靠地层能量衰竭开采。但是,目前中、低煤阶煤岩气有效开发工艺模式仍未定型,尚需探索。
1.4.3 游离气与吸附气连续接力长周期产气
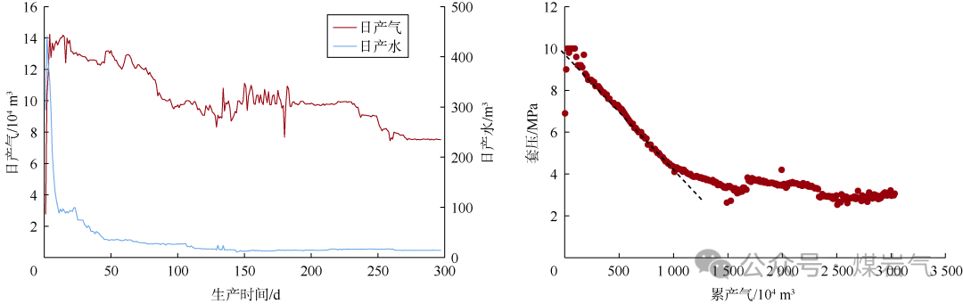
通常情况下,煤层气井需先排水1~2年才可达产,达产后稳产2~5年,直井稳产期产量800~1500m3/d(见图7),水平井稳产期产量5000~10000m3/d[7, 58-61]。煤岩气水平井多段压裂过程中,大量压裂液注入储层,返排初期天然气即可快速产出。目前看,水平井生产的初期套压与累产气量呈现典型的线性关系(见图8),煤岩气井达产气峰值后呈“三段式”特征,游离气产出后,吸附气形成接替,游离气与吸附气同产出,推测中后期规模降压,大量吸附气产出,生产周期长。

图7 沁水盆地樊庄区块煤层气典型直井生产曲线

图8 鄂尔多斯盆地东缘
大吉区块煤岩气典型水平井生产曲线
综合考虑煤岩气地质特征、开发技术和开发效果等情况,并参考常规天然气、页岩气和煤层气等分类标准,按照埋深、煤阶、压力系数、储量丰度、储量规模和气井产能等提出分类标准。
2.1 埋深分类
根据当前对鄂尔多斯、四川和准噶尔等盆地认识,按照埋深不同,将埋深超过2000m的煤岩气称为深层煤岩气。当然,按理论推测,埋深2000m以浅煤岩储层在一定条件下也可以形成煤岩气。
2.2 煤阶分类
按照煤岩煤阶的不同,相应地将煤岩气划分为低煤阶煤岩气(褐煤-长焰煤,Ro值小于0.7%)、中煤阶煤岩气(气煤-瘦煤,Ro值范围0.7%~1.9%)和高煤阶煤岩气(贫煤-无烟煤,Ro值大于1.9%)。
2.3 储层压力系数分类
按照煤岩储层压力系数的不同,将煤岩气划分为欠压煤岩气(压力系数小于0.9)、常压煤岩气(压力系数0.9~1.1)和超压煤岩气(压力系数大于1.1)。
2.4 储量规模分类
按照煤岩气田技术可采储量规模大小,将煤岩气田划分为小型煤岩气田(技术可采储量小于25×108m3)、中型煤岩气田(技术可采储量(25~250)×108m3)、大型煤岩气田(技术可采储量(250~2500)×108m3)和特大型煤岩气田(技术可采储量大于2500×108m3)。
2.5 储量丰度分类
按照煤岩气储量丰度不同,将煤岩气划分为低丰度煤岩气(储量丰度小于1.5×108m3/km2)、中丰度煤岩气(储量丰度(1.5~3.0)×108m3/km2)和高丰度煤岩气(储量丰度大于3.0×108 m3/km2)。
2.6 气井产量分类
按照煤岩气水平井日产量大小,将煤岩气井分为低产煤岩气井(日产量小于3×104m3)、中产煤岩气井(日产量(3~10)×104m3)和高产煤岩气井(日产量大于10×104m3)。
3.1 资源评价关键指标
以煤岩气富集主控因素为基础,综合各盆地地质条件和认识程度,结合不同参数对煤岩气井产能的影响程度,并依据中低煤阶(Ro小于等于1.2%)和中高煤阶(Ro大于1.2%)的差异确定了煤岩储层厚度、含气量、构造条件、煤体结构、埋深等5项参数及权重,按照加权法进行资源分级。其中,Ⅰ类资源8~10分、Ⅱ类资源4~7分和Ⅲ类资源0~3分(见表4)。

表4 煤岩气资源分级评价参数取值标准表
煤岩储层厚度:权重为0.25。对于中低煤阶,Ⅰ类为单层厚度大于8m或累计厚度大于15m、Ⅱ类为单层厚度5~8m或累计厚度10~15m、Ⅲ类为单层厚度小于5m或累计厚度小于10m;对于中高煤阶,Ⅰ类为单层厚度大于5m或累计厚度大于7m、Ⅱ类为单层厚度3~5m或累计厚度5~7m、Ⅲ类为单层厚度小于3m或累计厚度小于5m。
含气量:权重为0.30。对于中低煤阶,Ⅰ类含气量大于12m3/t、Ⅱ类含气量8~12m3/t、Ⅲ类含气量小于8m3/t;对于中高煤阶,Ⅰ类含气量大于16m3/t、Ⅱ类含气量12~16m3/t、Ⅲ类含气量小于12m3/t。
构造条件:权重为0.15。Ⅰ类为构造简单、割理裂隙发育;Ⅱ类为构造较复杂、割理裂隙较发育;Ⅲ类为构造复杂。
煤体结构:权重为0.15。在沉积作用下,单一煤层在横向上可分成若干个煤层;根据煤的构造破坏程度不同,可将其划分为原生结构煤、碎裂煤、碎粒煤和糜棱煤。Ⅰ类煤层稳定、煤层结构一分型为主,原生结构煤为主;Ⅱ类煤层较稳定、煤层结构二分型为主、碎裂煤为主;Ⅲ类煤层不稳定、煤层结构三分及以上、碎粒煤和糜棱煤为主。
埋深:权重为0.15。随着埋深加大,煤岩储层含气量等参数变化明显,资源评价过程中细分了埋深范围。对于中低煤阶,Ⅰ类埋深2000~3500m,Ⅱ类埋深3500~4500m,Ⅲ类埋深大于4500m;对于中高煤阶,Ⅰ类埋深2000~3000m,Ⅱ类埋深3000~4000m,Ⅲ类埋深大于4000m。

图9 煤层气储层(a)和煤岩气储层(b)岩石物理模型

4.1 煤岩气资源与勘探前景
中国主要发育石炭系—二叠系海陆过渡相、侏罗系—白垩系河-湖相煤层,其中,石炭系—二叠系海陆过渡相煤层以鄂尔多斯、四川、渤海湾等盆地为代表,分布面积广;侏罗系—白垩系煤层以准噶尔、吐哈、塔里木等盆地为代表,呈局部富集。作为煤炭资源大国,中国煤岩气资源丰富,在各大含油气盆地均有分布,且高煤阶、中煤阶、低煤阶煤岩气资源结构完整。初步估算,全国埋深2000m以深的煤岩气资源量超过30×1012m3。
自中国石油在鄂尔多斯盆地东缘大吉区块勘探开发突破以来,煤岩气已经成为天然气勘探的热点领域,具有广阔的勘探潜力。未来,鄂尔多斯盆地中部与北部、四川盆地川南与渝东南、准噶尔盆地腹部白家海地区、渤海湾盆地冀中—黄骅坳陷是煤岩气的规模富集潜力区;柴达木、吐哈—三塘湖和塔里木等盆地,以及滇东黔西地区、海拉尔盆地等富煤区也有较好的煤岩气勘探前景。
4.2 理论技术挑战与攻关方向
传统煤层气勘探开发技术及装备不适用煤岩气。需要指出,大型含煤盆地多与含油气盆地叠合,大量油气勘探的地震、钻井等资料丰富,为煤岩气勘探评价奠定了良好的资料基础。油气地球物理、深层水平井钻完井、体积压裂等技术,为煤岩气资源的有效开发提供了有利的技术条件。但是,煤岩气作为一种新类型非常规天然气,虽在鄂尔多斯盆地东缘已经取得突破,但也发现煤岩气的勘探开发方式具特殊性,当前仍面临系列技术与管理挑战。
一是煤岩气勘探开发基础理论尚不成熟。亟需构建煤岩气富集和高效开发两项基础理论,重点包括煤岩气赋存机理和富集规律、煤岩岩石力学特性与强塑性煤岩破岩机理、煤岩储层渗流机理与提高采收率机理等。
二是煤岩气效益开发管理模式和工程技术系列亟待攻关形成。亟需按照“一全六化”系统工程方法论[62],组织好现场实施,攻关形成煤岩气地质工程一体化气藏精细描述与建产区优选、一次井网高效动用及提高采收率开发优化、低成本长水平段井眼轨迹控制、高效压裂参数优化、强塑性煤岩破岩、高矿化度采出液处理及资源化利用、高效连续井下增能举升等技术。
三是煤岩气勘探开发管理政策与技术标准规范体系有待建立。目前中国还未设立煤岩气矿种,尚无煤岩气地质评价、储量估算等相关标准规范,且现行规范对煤岩气明显不适用。亟需统筹研究推动国家设立煤岩气独立矿种,制定煤岩气勘探、开发、工程技术等全领域标准规范,制定煤岩气地质评价、储量计算、甜点表征与预测、钻完井设计、压裂改造设计、排采工艺、产能评价等方面行业标准和技术规范。
4.3 未来发展展望
煤岩气本质上是一种清洁能源。高效开发利用煤岩气有利于优化能源结构,支撑能源接替,有利于实现“双碳”目标,助力节能降碳。中国煤岩气类型多样,地质条件复杂,资源禀赋差异大,富集高产机理尚不明确,勘探开发关键工程技术尚不成熟。未来需聚焦煤岩气勘探开发的关键问题,进一步强化煤岩气基础理论研究及技术研发,积极探索煤岩气赋存状态与富集机理、少水或无水新型人工造藏技术、热驱提高采收率技术和控流压高效排采控制技术等,形成地质、钻井、压裂、排采关键核心技术体系,发展具有中国地质特点的煤岩气富集理论与勘探开发技术,不断拓展勘探新领域,加大开发力度,为国家能源战略服务。
提出了煤岩气定义。煤岩气指以煤岩自身生成或其他气源运移而赋存于煤岩中,游离态和吸附态并存,游离气含量高,通过储层改造可快速产气并能获得工业化开采的烃类气体。
指出了煤岩气在地质与开发上的特殊性。在地质上,煤岩气不同于传统意义上的煤层气,具有游离气与吸附气并存、富含游离气,自生自储-微距运移并可有他源的聚集,煤岩割理裂缝发育、游离气差异富集等地质特征;在开发上,与页岩气、致密气特征相似,人工改善储层连通性后,无需排水降压,高势能游离气产出压降后吸附气解吸接替,可依靠地层自然能量开采,游离气与吸附气连续接力长周期产气。
提出了煤岩气的分类标准与资源/储量估算方法。综合考虑煤岩气地质特征、开发技术和开发效果等情况,按照埋深、煤阶、压力系数、储量规模、储量丰度和气井产量等提出分类标准。结合煤岩气赋存特点,通过建立煤岩气储层岩石物理模型,提出了煤岩气资源/储量估算方法。
指出了煤岩气勘探主攻方向与技术攻关方向。按照目前煤岩气资源认识,结合当前勘探开发情况,展望了鄂尔多斯、四川、准噶尔和渤海湾等盆地煤岩气的有利区,提出了在勘探开发基础理论、效益开发技术系列、管理政策与技术标准规范体系等方面的攻关方向。
致谢:在论文写作过程中,得到了贾承造、袁士义、胡文瑞、孙龙德、赵文智、金智新、邹才能、刘合、李宁和葛世荣等院士,以及杨雨、赵培华、黄士鹏、李明宅、毕海滨和王峰等专家的指导和帮助,在此表示衷心感谢!
符号注释

参考文献











发布者:cubeoil,转转请注明出处://www.mirrorballz.com/archives/99895

